Answers

Answers: Question No : 9

Answer to Q.9

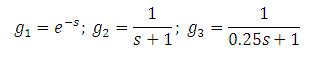
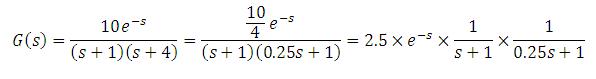
(a) The system can be divided into three parts, two first order processes and one pure dead time.

The amplitude ratio of pure dead time is and phase shift ranges from 0° to -

It has two corner frequencies at 1 and at (1/0.25). The qualitative Bode diagram is given below with the following notation:


(b) The system can be divided into two parts, one first order process and one first order zero.

The amplitude ratio of first order zero is and phase shift is Hence there will be a low frequency asymptote parallel at AR = 1 and high frequency asymptote approaching with a slope of 1. Phase shift will be positive, hence called the phase lead from 0° to 90°. It has two corner frequencies at 1 and at (1/0.2). The qualitative Bode diagram is given below with the following notation:

The high frequency asymptote of overall system will have zero slope and zero phase shift.