Answers

Answers: Question No : 18

 

Answer to Q.18 

The material balance across the process is

(1)

For h > 2. Using the valve characteristic equation, we obtain

(2)

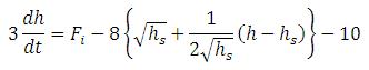
Linearizing eq.(2),

(3)

At steady state

(4)

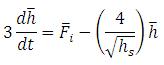
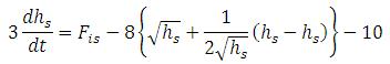
Subtracting eq.(4) from eq.(3), we obtain

(5)

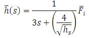
Taking Laplace Transform of the eq.(5), we obtain

(6)

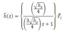
Eq. (6) shows that the linearized process is a first order process. It can be further re-arranged as

(7)

The time constant of the system at an operating level of 9 ft is