Answer to Q.10
The transfer function of a second order critically damped process, with gain (K) 1 and natural period of oscillation
1 is
The Laplace Transform of a sinusoidal input sin(t) is
Now,
Answers
Answers: Question No : 10
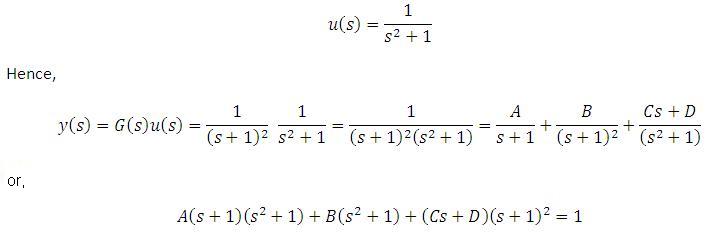
Answer to Q.10
The transfer function of a second order critically damped process, with gain (K) 1 and natural period of oscillation
1 is
The Laplace Transform of a sinusoidal input sin(t) is
Now,