Answer to Q.19
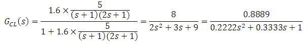
The closed loop transfer function is
|
The final steady state value of step input is 0.8889, hence the offset is
The natural period of oscillation is
The damping coefficient is
The overshoot is
The decay ratio is
Answers
Answers: Question No : 19
Answer to Q.19
The closed loop transfer function is
|
The final steady state value of step input is 0.8889, hence the offset is
The natural period of oscillation is
The damping coefficient is
The overshoot is
The decay ratio is