Answers

Answers: Question No : 14

 

Answer to Q.14

From the reported results, we can conclude that some disturbance in the reactor has caused the actual temperature to vary sinusoidally which eventually has caused the measured output to oscillate too. The temperature sensor and the thermowell act as a two first order processes in series. The overall transfer function between actual temperature of CSTR and measured value of the temperature is:

 

(1)

Hence, the measured temperature behaves as a second order overdamped process with τ = 5.48 and ξ = 1.19 to any changes in the actual reactor temperature. The frequency response analysis shows that any sinusoidal input acting on the second order over damped process will result in sinusoidal output

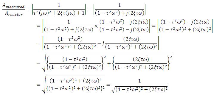
The value of can be calculated in the following manner:

 

 

 

(2)

The frequency of the perturbing sinusoidal signal (reactor temperature) is calculated from the observed period of oscillation 30 sec.

(3)

The amplitude of the measured temperature is obtained from the recorded oscillation,

(4)

In other words, the measured temperature oscillates around a mean temperature 181.5°C with an amplitude ±1.5°C Using eq. (2) we obtain,

(5)

Hence, , which means that the actual temperature of the reactor oscillates around a mean temperature 181.5°C with an amplitude ±4.12°C. In other words, the actual reactor temperature lies in the range , nearly three times the variation indicated by the sensor. Because the second-order process is overdamped, we expect that the sinusoidal perturbations in the reactor temperature will always be attenuated (reduced in amplitude) in the measurement system, regardless of the frequency of the perturbation.