Answer to Q.8
Two first order processes in series will have an overall transfer function block:
Similarly,
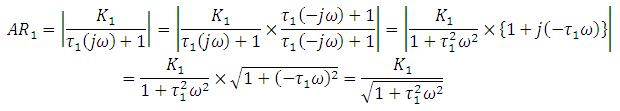
Hence the overall amplitude ratio is
Now,
Similarly,
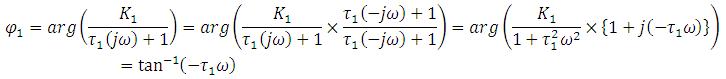
Hence the overall phase shift is
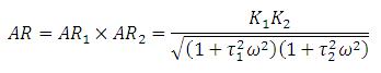
Thus, the amplitude ratio and phase lag are given as:
Answers
Answers: Question No : 8
Answer to Q.8
Two first order processes in series will have an overall transfer function block:
Similarly,
Hence the overall amplitude ratio is
Now,
Similarly,
Hence the overall phase shift is
Thus, the amplitude ratio and phase lag are given as: