Answers

Answers: Question No : 13

 

Answer to Q.13

It is said that the volume of liquid in the tank and volume of coolant in the jacket remain constant. That necessarily means that the system is at steady state as far as mass flow is concerned. Hence, task of mass balance is redundant for this system. It is however observed that the liquid in the tank is being cooled from Tf to T by using the coolant which eventually is being heated from Ti to Tj . Hence there is a scope for energy balance to determine the dynamics of heat flow within the system. All the subsequent variables are deviation variables.

The energy balance for liquid flow in the tank is given as follows:

(1)

The energy balance for coolant flow in the jacket is given as follows:

(2)

Where, ρ, ρj = densities of liquid and coolant respectively, Cp ,Cpj = specific heats of liquid and coolant respectively, Tref = reference temperature for enthalpy calculation, Q = heat released by the liquid and absorbed by the coolant.

The reference temperature can safely be assumed zero without losing generality, (Tref = 0). The heat transferred between liquid and coolant can be expressed as

(3)

Where, A = heat transfer area (tank wall area) between liquid and coolant. Using U = Kqj0.8 eq.(3) takes the form,

(4)

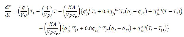
Using eq. (4) into eq. (1) and (2) and rearranging them we obtain,

(5)

(6)

The nonlinear terms of the above equations are qj0.8T and qj0.8Tj . They are linearized in the following manner,

(7)

(8)

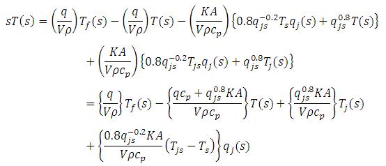
Where, Ts ,Tjs , qjs are nominal steady states of the corresponding variables. Eq.(5) can be rewritten as

(9)

Taking Laplace Transform of the eq. (9) we obtain,

(10)

Rearranging the above we obtain,

(11)

Similarly, it can be proved that

(12)