Answers

Answers: Question No : 12

 

Answer to Q.12

It is evident from the transient behavior of the process that this is a second order plus time delay underdamped system. Hence it has a transfer function of the form,

We have to find out four unknown parameters viz. ,K,td,τ and ξ.

From the figure it can be concluded that the time delay is 5 sec.

For a unit step input, the process stabilizes at an elevation of 3. Hence the gain of the system is (3/1)=3.

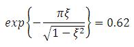
Overshoot is (4.86-3)/3=0.62 and hence by recalling the formula of overshoot we obtain,

Hence,

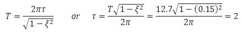
The period of oscillation, i.e. the time elapsed between which the transient attains two successive peaks, is 12.7, hence recall the formula

Hence, the natural period of oscillation is 2.

Hence the overall system stands as

The response time is defined as the time when the transient reaches within ±5% of its final steady state value and stays within that band. The visual observation shows the response time to be 45 sec.