Answer to Q.3
|
Hence, the closed loop transfer function would be
|
The resultant CLTF is a second order process whose
|
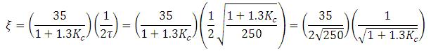
Hence,
|
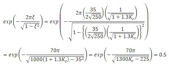
The decay ratio is 0.5, thus
|
Hence,
|
Answers
Answers: Question No:3
Answer to Q.3
|
Hence, the closed loop transfer function would be
|
The resultant CLTF is a second order process whose
|
Hence,
|
The decay ratio is 0.5, thus
|
Hence,
|