Answers

Answers: Question No:1

 

Answer to Q.1

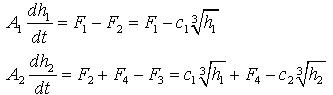
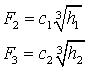
It is understood that the outlet flow of a tank is proportional to the cubit root of the height of the liquid in that tank. Hence the outlet flows of the tanks are written as:

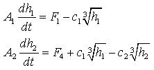
(a) The material balance on the tanks would yield the following equations:

Hence the time domain model for the whole process can be written as:

(b) The process has two states viz ., h1 and h2 , two inputs viz. F1 and F4 and two outputs viz ., h1 and h2 . One control valve is attached with input F1 and hence it can be manipulated as and when desired. Whereas, F4 is not associated with any such tool and hence it is a source of potential disturbance in the process. Thus F1 is the manipulated input and F4 is the disturbance input.

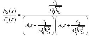
(c) As h2 is the output to be controlled and F1 is the only manipulated variable available with the process, the desired transfer function is .

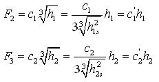
The only nonlinear part in the above model is with F2 and F3 . Linearizing these portions, we obtain

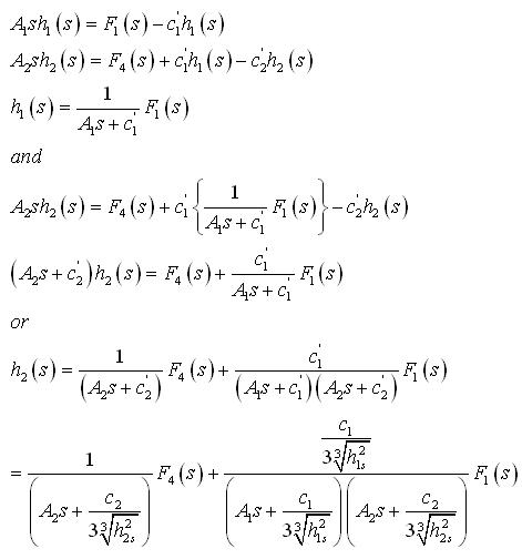
The models can be re-written as

Taking Laplace Transform,

Rearranging the above,

Hence the desired transfer function is