Answers

Answers: Question No : 11

 

Answer to Q.11

The process is a combination of two first order processes, one with a dead time and the other without a dead time. The block diagram is as follows:

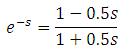
Using Pade' approximation,

the transfer function can be simplified as

Hence, the poles of the system are {-5,-2,-3.33} whereas zeros are {-3,47,0.72}.

The step response of the process would demonstrate inverse response due to the presence of positive zero {0.72}. The first subsystem shows a delayed (by 1 sec) response in the positive direction whereas the second subsystem shows a response in the negative direction without any time delay. However, the overall static gain of the system is 10-5=5 Hence, the process will initially show a move towards negative direction as only the second subsystem would be active up to 1 sec and after 1 sec, it would start moving in the positive direction as the first subsystem would be active by then. It eventually would stabilize at the value of 5. The qualitative plot would look like the figure presented below.

The blue line indicates the response of subsystem 1, green line indicates the response of subsystem 2 and the red line indicates the inverse response of the overall transfer function.

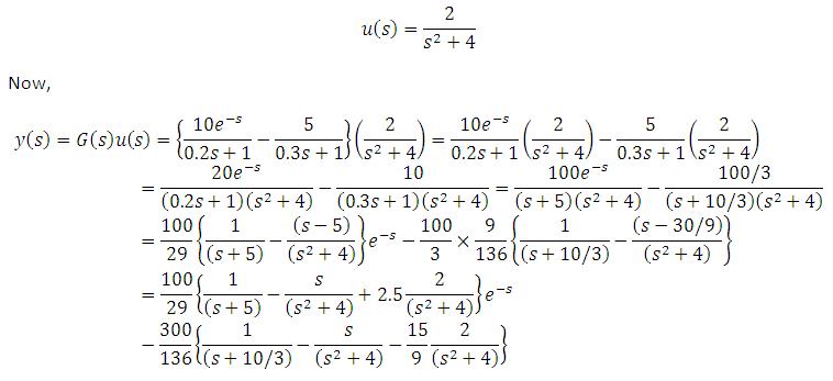
The Laplace Transform of sin(2t) is

Taking inverse Laplace transform we obtain,

After sufficiently long time, exponential functions of time will vanish and thereby the final expression would be