Answers

Answers: Question No : 6

 

Answer to Q.6

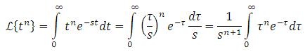
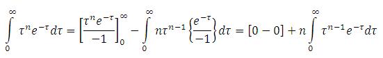
Laplace Transform of tn

Let us denote . Then

Hence,

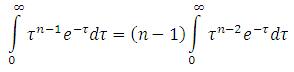
Now,

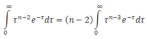
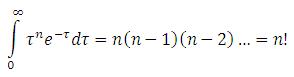
Similarly,

And so on. Hence,

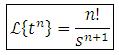
And