Answers

Answers: Question No : 17

Answer to Q.17

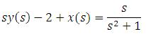
Taking Laplace Transform of eqs. (1) and (2), we obtain

(3)

(4)

(5)

Multiplying eq. (3) by S, we obtain

(6)

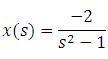
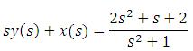
Substracting eq.(5) from eq.(6), we obtain

(7)

or,

(8)

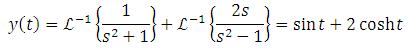
Hence,

(9)

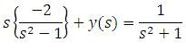
Combining eqs.(8) and (3), we obtain

(10)

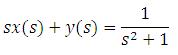
or,

(11)

Hence,

(12)