Answers

Answers: Question No:5(a,b)

 

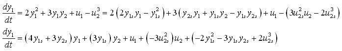
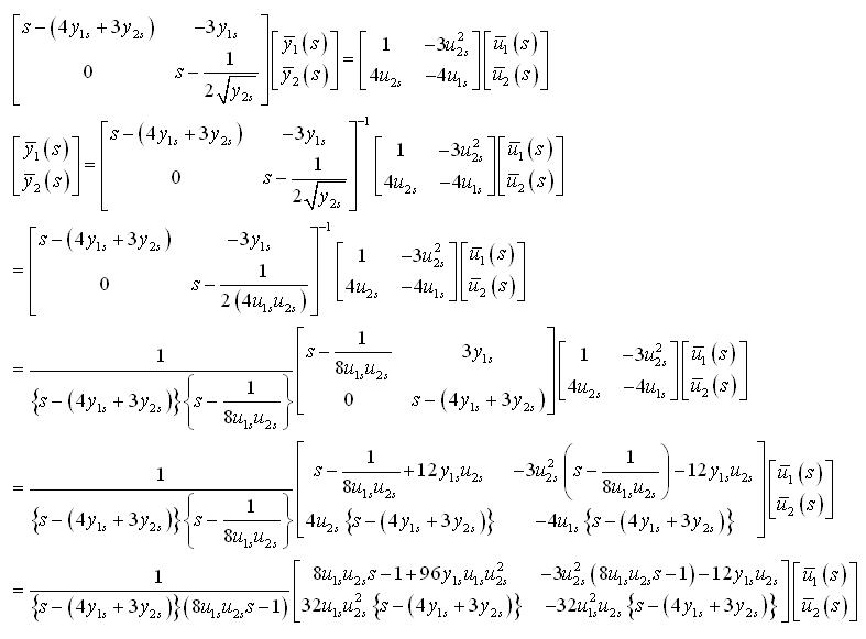
Answer to Q.5. (a)  

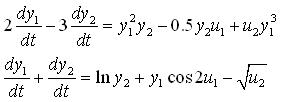
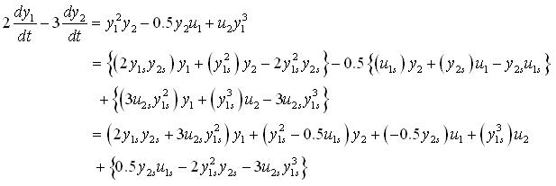
The system is

At steady state condition,

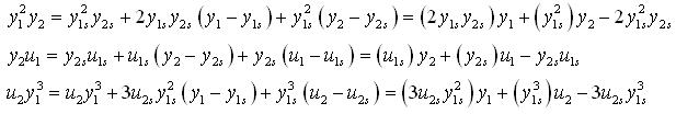
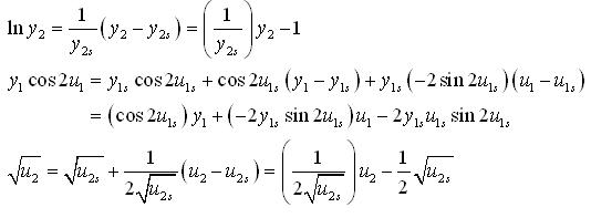
Linearizing the nonlinear terms of the above equations,

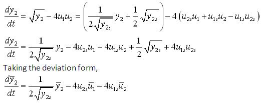
Hence,

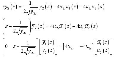
Taking the deviation form,

Taking Laplace transform,

Similarly,

Taking Laplace Transform,

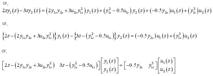
Combining the equations we get,


or,

 

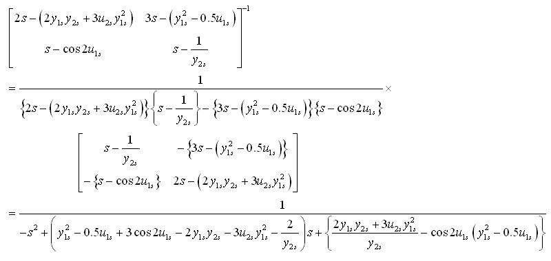
Answer to Q.5. (b)

 

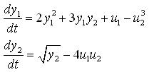
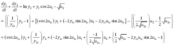
The system is

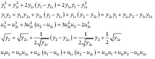
Linearizing the nonlinear terms of the above equations,

Hence,

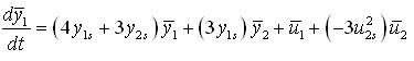
Similarly,

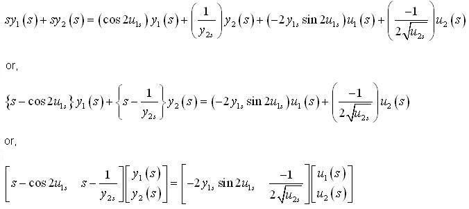
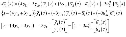
Hence taking Laplace transform,

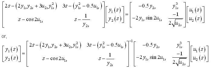
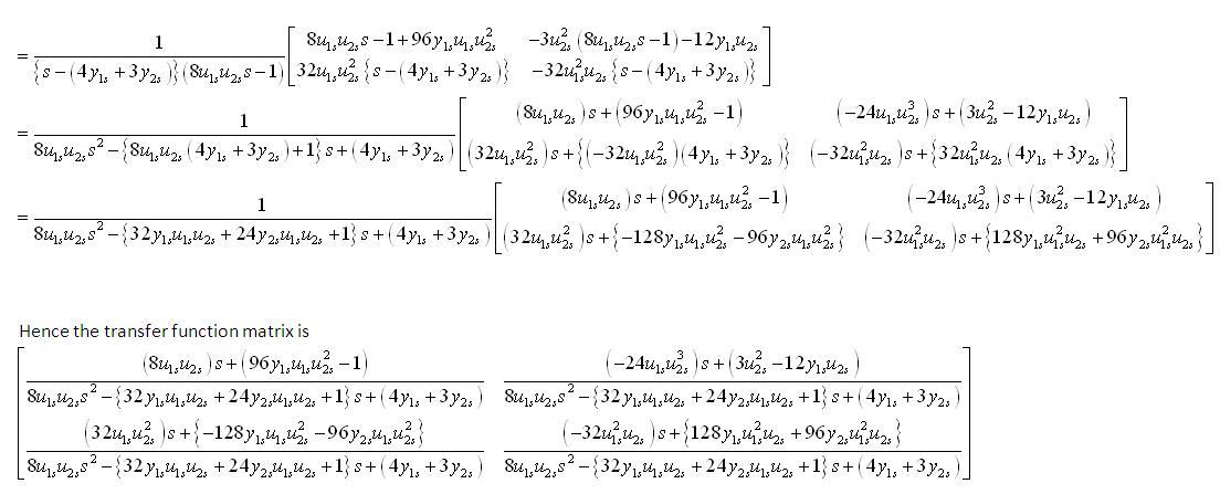
Combining the above two segments we obtain,

 

Now,