Answers

Answers: Question No:2

 

Answer to Q.2

 


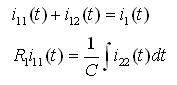
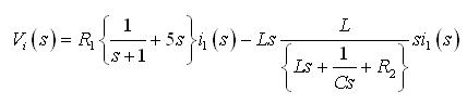
Suppose the current flowing though two segments are i1 and i2 respectively. i1 flows in two branches as i11 and i12 . Let us assume the following:

Kirshoff's law can be applied in the following manner:

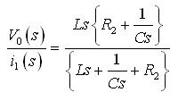
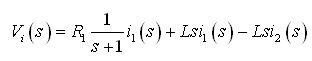
or

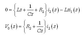
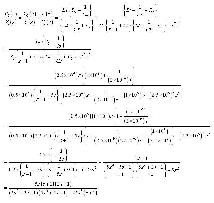
Solving further,

Further,

or

or

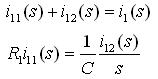
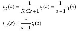
Similarly in the other loops,

or

Hence

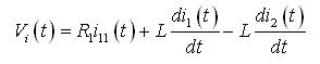
or

And

or

Hence,