Answers

Answers: Question No : 20

 

Answer to Q.20

Step 1:

No. of poles = n = 3 i.e. -1,-2,-3

No. of Zeros = m = 0 as there is no zeros in this function

Step2:

No. of loci or branches is equal to = n - m = 3

Each branch will start from each of the location of open loop poles.

As there is number zero, all 3 branches will terminate at .

Step 3:

A point on real axis lies on the root locus if summation of number. of open loop poles and open loop zeros on R.H.S of this point is an odd number. Since n + m = 3 (odd) therefore real axis is a point of root locus.

Real axis loci are:

•  Present in between - ∞ to - 3 due to three (odd) poles to the right of - ∞.

•  Absent in between - 3 to - 2 due to two (even) poles to the right of - 3.

•  Present in between - 2 to - 1 due to one (odd) pole to the right of - 2.

Step4:

Since n - m = 3 , we have 3 asymptotes.

Centroid of asymptotes

(1)

Angle of asymptodes

(2)

Where q = 0,1...(n - m - 1) = 0,1,2 . Therefore β = 60,180,300 degrees

Step5:

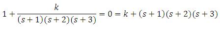
The Characteristic equation is

(3)

or

(4)

And

(5)

Eq.(5) has two roots {- 1.42, - 2.58}. As there is no root locus between - 2 and - 3 therefore

s = -2.58 cannot be break away point also corresponding k value is negative. Thus s = -1.42 is the break away point where value of k = 0.3849 (positive)

Step 6:

We have

Routh array is

According to theorem

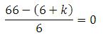
(6)

Therefore kmax = 60 and Cs2 + D = 0, therefore 6s2 + 6 + k = 0 and s = ± 3.31j . Interaction of root locus with imaginary axis is at ±3.31j and corresponding value of kmax = 60.

Step7:

As there are no complex conjugates poles or zeroes no angles of departures or arrivals are required to be calculated. Complete root locus is as shown.

Step8:

Prediction about the stability

•  For 0 < k < 60, stable.

•  For k = 60, system is marginally stable.

•  For 60 < k <, system is unstable.