Answer to Q.7
|
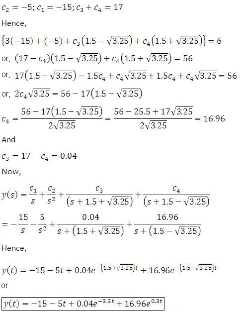
Taking Laplace Transform of the equation we obtain,
|
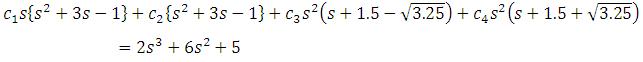
Hence,
|
or,
|
Hence,
or,
|
Answers
Answers: Question No : 7
Answer to Q.7
|
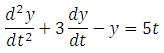
Taking Laplace Transform of the equation we obtain,
|
Hence,
|
or,
|
Hence,
or,
|