Answers

Answers: Question No : 16

 

Answer to Q.16

 

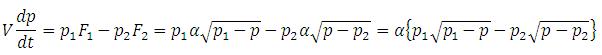
Assuming no chemical reaction inside the tank, the following conservation rule holds

No. of moles accumulated inside the tank = No. of moles IN – number. of moles OUT

(1)

(2)

Assuming the temperature to be constant throughout the process T1 = T = T2 , and V and R being the contant quantities, eq. (2) can be re-written as

(3)

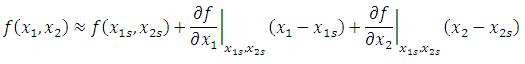
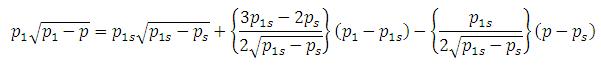
Using the Taylor series expansion of a function of two variables, as following:

(4)

On , we obtain

(5)

Similarly using eq. (4) on , we obtain

(6)

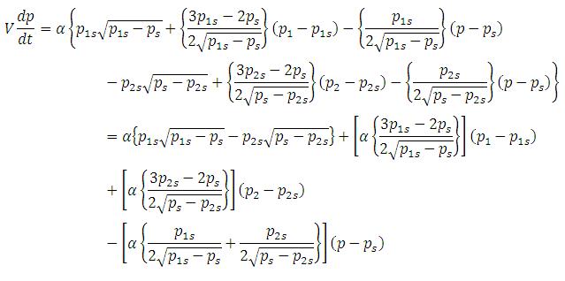
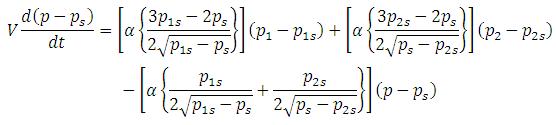
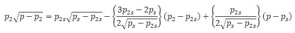
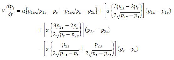
Now, using eqs.(5) and (6) on eq.(3), we obtain

 

 

 

(7)

At steady state, eq. (7) takes the form,

 

 

(8)

Substracting eq.(8) from eq.(7), we obtain

 

(9)

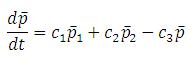
Expressing them into deviation variable form,

(9)

Where

(10)

 

(11)

 

(12)

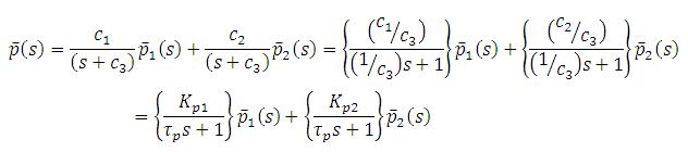
Taking Laplace Transform of the eq.(9) and rearranging , we obtain

 

(13)

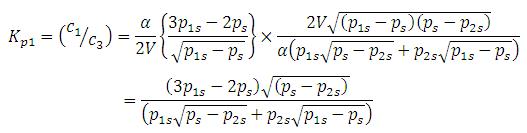
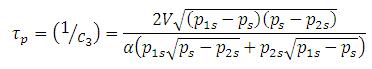
Hence the time constant of the system is

(14)

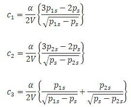
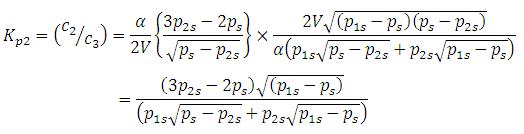
Static gains of the system are

 

(15)

And

 

(16)

The block diagram is given as follows: