Finally, the bearing internal dimensions are obtained as: ri = ro = 3.09 mm, Db = 6 mm, Z = 6, di = 14 mm, do = 26 mm, Dm = 20 mm and g = -13 X 10-3 mm. Based on these dimensions now the following parameters, which will be used for finding the bearing stiffness, can be estimated

Corresponding to the curvature difference of F(ρi) = 0.96, the non-dimensional relative displacement is given as (Fig. 3.12, Table 3.4, Harris, 2000) δ*i = 0.545.

Corresponding to the curvature difference of F(ρi) = 0.96, the non-dimensional relative displacement is given as (Fig. 3.12, Table 3.4; Harris, 2000) δ*i = 0.63
The load deflection constant at the inner and outer raceway contacts are given as (refer equation (3.32))
![]()
and
![]()
The load deflection factor for a single ball is given as

The bearing stiffness can be expressed as
![]()
The bearing stiffness is given as
![]()
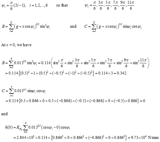
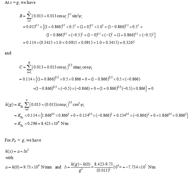
with n = 3/2, Z = 6, g = 0.013 mm.



It can be seen that the bearing stiffness is critically dependent on the clearance, cr, in the bearing. While the manufacturer, may, at times, provide the clearance range depending upon standards of fits and tolerances, the exact value of the clearance of the bearing in the shaft-casing assembly, especially during operations which have involved wear, tear and expansion due to temperature, would be difficult to determine. In subsequent chapter, we deal with experimental determination of the stiffness and damping parameters.