
To find Kp from equation (3.330, we need: (i) type of bearing (ii) inner raceway diameter di (iii) outer raceway diameter do (iv) ball diameter Db (v) number of ball Z (vi) inner groove radius ri (vii) outer groove radius ro (viii) pitch diameter Dm (viii) material modulus of elasticity EI and EII, and (ix) material Poisson’s ratio, vI and vII of two contact bodies.

For a given external radial load Fr on a bearing (Figure 3.13), the total elastic force at the points of contact of the ith ball with the inner and outer races is expressed as (Ragulskis et al., 1974)
| (3.37) |
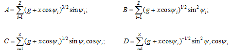
with
![]()
where g is the radial preload or negative of radial clearance (g = - cr ) between the ball and the races, x and y are the displacements of the moving ring in the direction of the radial load and perpendicular to the direction of the radial load, respectively; ψi is the angle between the lines of action of the radial load (direction of displacement of the moving ring) and the radius passing through the center of the ith ball,
is a coefficient of proportionality depending on the geometric and material properties of the bearing (the value of
, for the bearing with its specifications, can be estimated by the method suggested by Harris, 2000), v and Φ are angles (see Fig. 3.1.3) with
, and Z is number of rolling elements. The projection of fi along the line of action of the applied force is
| (3.38) |
The total elastic force in the direction of the applied force is
| (3.39) |
where Z is the total number of balls in the bearing. Using the condition of zero elastic force in the direction perpendicular to the elastic load, the deformation, y, perpendicular to the radial force line is expressed as
![]() |
(3.40) |
Equations (3.38) and (3.40) are used in equation (3.39) and the bearing stiffness is determined as a function of the deformation x as
| (3.41) |
On substituting equation (3.39) in equation (3.41), taking into account equation (3.40) the bearing stiffness is expressed as a function of deformation as
![]() |
(3.42) |
where
![]() |
(3.43) |
It can be seen that the bearing stiffness is critically dependent on the preloading, g, of the rolling elements. While the manufacturer, may, at times, provide the preload range, the exact value of the preloading of the bearing rolling elements in the shaft-casing assembly, especially during operations which have involved wear and tear, would be difficult to determine. It is also to be noted that the theoretical stiffness calculations are based on formulations which analyse the bearing in isolation of the shaft.


