with
![]()
where
are the reduced mass and stiffness matrices respectively; and
and
are the reduced response and force vectors, respectively. The procedure of elimination of slave DOFs as discussed above is generally called the dynamic reduction scheme (Paz,1984). The damping and gyroscopic matrices are also reduced by the transformation matrix defined by (9.129) as
![]()
However, the assumption involved with the reduction defined in equation (9.132) is that matrices [C] and [G] is negligibly small as compared to matrices [M] and [K]. There is several researches still underway on the condensation schemes. Tiwari and Dharamraju (2006) developed a high-frequency condensation scheme, in which the inertia term is so dominant that other terms like stiffness and damping forces are negligible. For such case, the transformation matrix could be obtained by dropping stiffness terms from equation (9.129) and it can be written as

Where superscript hf represents the high frequency.
Example 9.12 For Example 9.2 condense all rotational DOFs by using dynamic condensation technique. Consider only three elements for illustration of the method.
Solution : The dynamic condensation transformation matrix is defined as

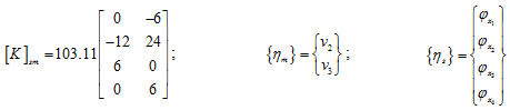
From the previous example we have




For the dynamic condensation, we need the frequency at which we need to transform equations. From the static condensation we have some knowledge of natural frequencies of our interest. Let us take 100 rad/s as the average value of the frequency.


and
