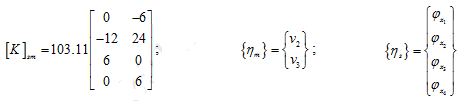
The first step would be separate the master (translational displacements) and slave (rotational displacements) DOFs, as

In above equations the following rearrangement of columns has been made in the mass and stiffness matrices: 2C to 1C, 4C to 2C, 1C to 3C and 3C to 4C. Also the displacement vector has the following rearrangement of rows: 2R to 1R, 4R to 2R, 1R to 3R and 3R to 4R; where C and R represent column and row, respectively.
Now we have the following sub-matrices and sub-vectors as defined in the Eq.(9.117) ,


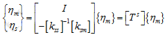
The static condensation transformation matrix could be obtained as

Hence, we have

Hence, we have the following transformations

Hence, the reduced form of the matrix becomes
![]()
with


![]()

![]()
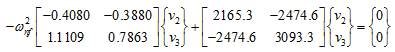
Hence, we have the following eigen value problem
