which gives natural frequencies as
![]()
On comparison with Example 9.2 with the same number of elements it could be seen that not much difference in the determined natural frequencies even with the condensations of some of DOFs. However, now the size of the matrix has decreased drastically from 6×6 to 2×2.
Example 9.11 For Example 9.6 apply the static condensation by taking all the rotational DOFs except at the discs as slave DOFs and compare the accuracy of natural frequencies with no condensation case.
Solution : The static condensation is employed to reduce the order (or the size) of the eigen value problem, when dealing with fourteen-element model which reduces the expense of computing eigen values and eigen vectors. All rotational degrees of freedom (eleven) except at discs are selected as slaves DOFs. After condensation scheme the order of eigen value problem becomes seventeen (2 x 14-11=17). Table 9.10 shows that with condensation scheme the first two natural whirl frequencies are in excellent agreement but for the third and fourth natural whirl frequencies agreement is not so good. It is observed that error increases with the mode number and no definite trend is observed (i.e. at lower modes obtained natural frequencies are more and at higher mode less than without reduction).

9.7.2 The dynamic reduction
Equation (9.116) can be expanded into two equations in the frequency domain as

where ω is the frequency (e.g., for the unbalance excitation the spin speed of the rotor or for free vibration it is a natural frequency) and {η} and {F} are the complex displacement and force vectors, respectively. Equation (9.125) can be rearranged as
![]()
with an identity equation
![]()
Equations (9.127)and (9.126)can be combined as
![]()
with

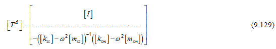
where
is the transformation matrix for the dynamic condensation. In the above transformation apart from the mass and stiffness matrices; the frequency,ω,also appears. It is generally called the central frequency, and it is chosen as geometrical mean of frequencies of interest. It should be noted that for ω=0 equation (9.129) reduces to equation (9.120). That means the static condensation is a special form of more general dynamic condensation. On substituting equation (9.128) into frequency domain equation of motion (9.116), the resulting equation becomes
![]()