Example 9.9 For Example 9.2 obtain the Raleigh's damping coefficients considering the first two natural frequencies, and for damping ratios of 0.01 and 0.015 for the first and second natural modes, respectively. Obtain the damping matrix for the first element by using these damping coefficients.
Solution : The first and second natural frequencies of the rotor system of Example 9.2 are
![]()
and corresponding damping ratio are given as
![]()
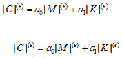
Now the Rayleigh's damping coefficients are given as

Hence the damping matrix for the first element would be


It should be noted that the damping matrix is also remain symmetric. Determination of natural frequencies (i.e., the eigen value problem formulation in the state space form) with damping in the system would be dealt in subsequent chapter when we will consider the rotors mounted on fluid-film bearings by using the FEM.
9.7 The Static and Dynamic Reductions
The static (or Guyan) and dynamic reduction methods are generally used to reduce certain degrees of freedom in finite element equations. Similarly, we have expansion schemes to overcome the limitation of number of measurements in practical rotors. The response is measured at only a limited number of locations and over a limited frequency range; hence only a relatively small number of mode shape vectors with a reduced number of elements are measured. Difficulty arises in comparing measured experimental data with numerically generated data because of incomplete information. One way to compare the data is to reduce the number of DOFs in the analytical model or expand the number of DOFs from the limited measured DOFs. The most popular and the simplest method is the static reduction introduced by Guyan (1965), which is accurate at low frequency range only. The static method may be modified to reproduce the exact response of structure at any frequency. This is called the dynamic reduction method and it is an extension to Guyan's method. Paz (1984) used the dynamic reduction method in an iterative algorithm to save computational effort in calculating the eigensystem of a structure. O'Callahan (1989) introduced a technique known as the Improved Reduction System (IRS) that is an improvement on the static reduction method, and in fact provides a perturbation to the transformation from the static case by including the inertia term as pseudo static forces. Friswell et al. (1994) gave an iterative IRS method that converges to the same transformation as System Equivalent Reduction Expansion Process (SEREP) (O'Callahan et al., 1989). The SEREP uses the computed eigenvectors to produce the transformation between the master and slave coordinates. Kane and Torby (1991) gave a brief review on reduction methods and compared capabilities and requirement of various methods. Dharamraju et al. (2005), and Tiwari and Dharamraju (2006) developed the high-frequency and hybrid condensation schemes, respectively, well suited to the crack parameter identification. Recently, Karthikeyan and Tiwari (2009) extended the hybrid condensation scheme for the rotor system with the damping also.