where a and b are unknowns to be determined from the force distribution conditions, e.g. the amplitude of forces at ends.

For such a linear force distribution over the element, at least two nodes are required on an element and corresponding force values f1 (t) and f2(t) must be specified, i.e.

which can be solved to give

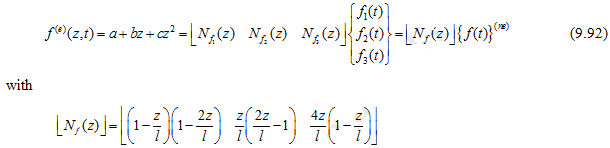
Then, the assumed form of the element force becomes

where Nf(z) is the shape function for the force . Hence the consistent load vector would be

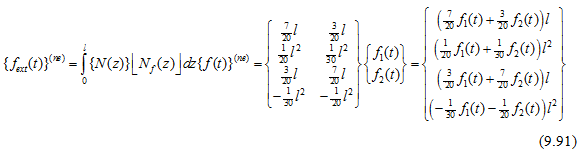
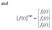
A quadratic variation of the force : In a quadratic polynomial one needs three constants to be determined. Hence, at least three nodes are required as shown in Figure 9.10 with node 3 as an internal node . At these nodes (i.e., at z = 0, 0.5 l and l ) corresponding force values f1(t), f2(t) and f3(t) must be sp ecified. So that the element force can be written as



Figure 9.10 A beam element with a quadratic variation of the force
Hence, the nodal external force vector is defined as
![]()
To obtain the explicit expression of the same, it is left to the reader as an exercise.