Uniformly distributed force : Let f (x,t) = f(t) be the uniformly distributed force (see Figure 9.7).

Figure 9.7 A beam element with the uniformly distributed force
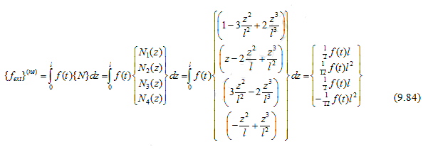
Noting equations (9.78)and (9.62), the consistent force vector is given as

It should be noted that because of the uniformly distributed force over the element both forces and moments are present at both nodes of the element. In fact the total force over the element, f(t)l , is same as the total force at nodes of the element, i.e. on adding the first and third columns of the consistent force vector. In addition to these forces we have moments at the second and third columns. While following the lumped system approach, one would have distributed the total force equally at nodes without any moment terms.

where δ*() is the Direc delta function .

The consistent force vector can be written as
![]()
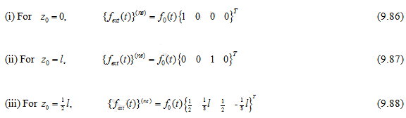
For cases shown in Figure 9.8, the external force vector takes the following form

The first and third rows of the force vector represent the equivalent force at nodes of the external force applied to the element at various locations as shown in Figure 9.8. Similarly, the second and fourth rows represent the equivalent moment at the nodes due to external force. For cases (i) and (ii) since the external force is at node 1 or 2, respectively; hence corresponding equivalent force remains the same. However, for case (iii) the external force is equally distributed at nodes 1 and 2, and apart from that it produces moments also at both nodes. Hence, a load inside the element will produce equivalent forces and moments at both the nodes. It is true also while an external moment is applied instead of an external force.
A linearly varying force : Let the linearly varying force (Fig. 9.9) over an element be expressed as
..............![]()