9.5.1 FE Formulation in a weak form
On substituting the approximate elemental solution of equation (9.47) in the equation of motion(9.17) ,the residue is given by
|
(9.48) |
The residue could be minimized over the element as
|
(9.49) |
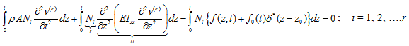
where, Ni is the weight function and l is the element length. The Galerkin method is used to minimize the residue wherein weight functions are assumed to be same as shape functions. On substituting the residue in the above equation, we get
|
(9.50) |
On rearranging terms in equation(9.50), we get
|
(9.51) |
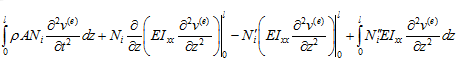
On integrating by parts (so as to equalise the order of the spatial derivative within the integral to two) the second term of equation (9.51) and keeping other integrals as the same, we have

|
(9.52) |
where prime (‘) represents the partial derivative with respect to z . The above equation is the weak FE formulation of the governing equation. The completeness and compatibility requirement of field variables (i.e., the translational and rotational displacements) could be obtained from the above equation as follows. The highest order derivative with respect to z in equation (9.61) is third, so the completeness of
and
is required (i.e., the derivative of displacement up to the same order, please note that φ''x = v'''). Hence, a polynomial of third degree for the translational displacement will be able to satisfy the above condition. The highest order of derivative with respect to z in only integral terms of equation is second, so the compatibility up to
and is required (i.e., the derivative of displacement up to one order less).
9.5.2 Derivations of Shape functions
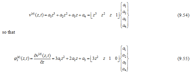
Expressing the transverse displacement of the element as a function of nodal degrees of freedom,
and
, as
|
(9.53) |
with
![]()
It should be noted that for two-noded element with two-DOF per node, we have total DOFs of the element as, r=4. The translational and rotational displacements (i.e.,
) at nodes 1 and 2 of the element are specified, and these give four boundary conditions for the element from which four constants in the shape function can be determined uniquely. Let us assume the transverse displacement v(z) to be a cubic polynomial, which has four coefficients as unknown, to predict the displacements within the element as


