where
are constants to be determined from boundary conditions of the element as shown in Figure 9.5.Equation (9.54) is expected to satisfy the governing differential equation (9.47) of the beam. In addition the cubic displacement shape function satisfies the continuity condition of both the translational and rotational displacements at nodes, which will be shown subsequently.

Each node has two DOFs and these are specified as
![]()
All four unknown constants can be determined from these four specified quantities (i.e., boundary conditions).
On application of boundary conditions of the element at two nodes into equations(9.54) and(9.55), we have

The above equations could be written in a matrix form, as
with

which can be solved for unknown constants as

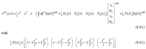
On substituting equation(9.60) into equation(9.54) , we get

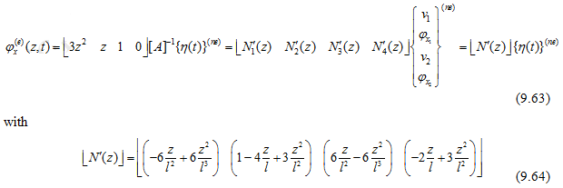
and on substituting equation(9.60) into equation (9.55), we get
