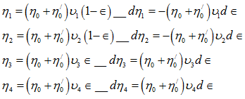
Again, the constitutive equations are;

Substituting the above in eq(1), we get,

Example 8:
Prove that, ![]()
Solution:

Module 3 : Reaction Thermodynamics
Lecture 8 : Reactive systems
Again, the constitutive equations are;

Substituting the above in eq(1), we get,

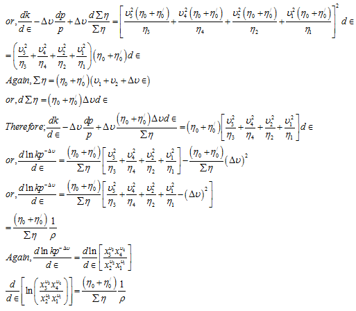
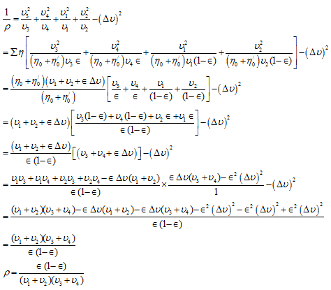
Example 8:
Prove that, ![]()
Solution:
