Example 3:
For the reaction
and
, the value of
are 55,000 and 61,800 cal/gmol respectively. Find the equilibrium constant
for
estimate equilibrium composition of mixture.
Solution
![]() |
ΔG°298 = 55500 | |
![]() |
ΔG°298 = 61800 | |
| ............................................................................... | ||
| Substraction | ![]() |
ΔG°298 = -6300 |
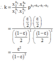
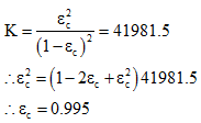
From the equation ![]()
We get 



At equilibrium,


Equilibrium composition: