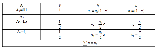
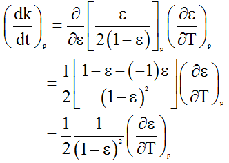
Example 1:
When 1 kmol of HI dissoclates according to the reaction 
At k = 0.0171, T = 675 K, ΔH = 5910 kJ/kgmol
Calculate
at this temperature.
Solution:




Module 3 : Reaction Thermodynamics
Lecture 8 : Reactive systems
Example 1:
When 1 kmol of HI dissoclates according to the reaction 
At k = 0.0171, T = 675 K, ΔH = 5910 kJ/kgmol
Calculate
at this temperature.
Solution:



