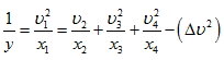
Example 7:
Prove that for a mixture of reacting ideal gas;
where
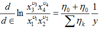
Solution:
The law of mass action is,

Module 3 : Reaction Thermodynamics
Lecture 8 : Reactive systems
Example 7:
Prove that for a mixture of reacting ideal gas;
where
Solution:
The law of mass action is,
