Thus the discrete state matrix A is given as
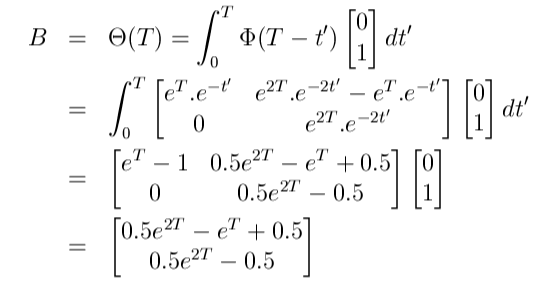
The discrete input matrix B can be computed as
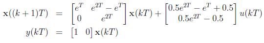
The discrete state equation is thus described by
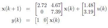
When T = 1 , the state equations become
Module 7 : Discrete State Space Models
Lecture 1 : Characteristic Equation, eigenvalues and eigen vectors
Thus the discrete state matrix A is given as
The discrete input matrix B can be computed as
The discrete state equation is thus described by
When T = 1 , the state equations become