If A has distinct eigenvalues
, then,
![]()
The solution will give rise to
, then
![]()
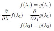
If there are multiple roots (multiplicity = 2), then
| (2) | |
![]() |
(3) |
Example 1:
If 
then compute the state transition matrix using Caley Hamilton Theorem.
(with multiplicity 2)![]()
Let
and![]()
Then using (2) and (3), we can write
