Module 7 : Discrete State Space Models

Lecture 1 : Characteristic Equation, eigenvalues and eigen vectors

3.2 Using Similarity Transformation

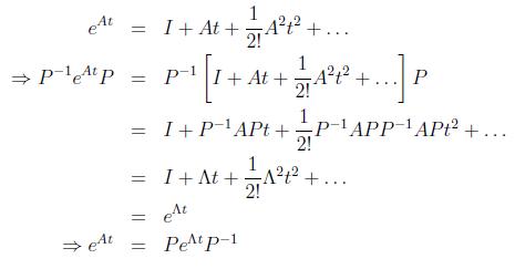
If is the diagonal representation of the matrix A, then = P-1AP. When a matrix is in diagonal form, computation of state transition matrix is straight forward:

$\displaystyle e^{\Lambda t}=\begin{bmatrix}e^{\lambda_1 t}&0&\ldots& 0\\
0& e^{\lambda_2 t}&\ldots& 0\\
0& 0&\ldots& e^{\lambda_n t}\end{bmatrix}$

Given e A t, we can show that

$\displaystyle e^{At}=Pe^{\Lambda t}P^{-1}$

Proof.

3.3 Using Caley Hamilton Theorem

Every square matrix A satisfies its own characteristic equation. If the characteristic equation is

$\displaystyle \triangle (\lambda)=\vert\lambda I -A\vert = \lambda^n + \alpha_1 \lambda^{n-1} + \cdots + \alpha_n = 0$

then,

$\displaystyle \triangle (A)= A^n + \alpha_1 A^{n-1} + \cdots + \alpha_n I = 0$

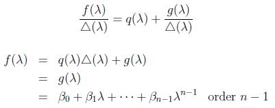
Application: Evaluation of any function $ f(\lambda)$ and $ f(A)$

$\displaystyle f(\lambda)=a_0 + a_1 \lambda + a_2 \lambda^2 + \cdots + a_n \lambda^n + \cdots \;\;$    order $\displaystyle \infty$