Module 7 : Discrete State Space Models

Lecture 1 : Characteristic Equation, eigenvalues and eigen vectors

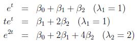
This implies


Solving the above equations

$\displaystyle \beta_0 = e^{2t} - 2t e^{t}, \;\;\;\;\; \beta_1 = 3t e^{t} + 2 e^t - 2e^{2t}, \;\;\;\;\; \beta_2 = e^{2t} - e^t - te^{t}$

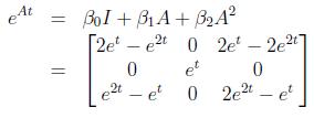
Then


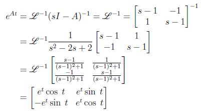
Example 2 For the system $ \dot{\mathbf{x}}(t)=A\mathbf{x}(t)+Bu(t)$, where $ A=\begin{bmatrix}1 & 1\\ -1 & 1\end{bmatrix}$. Compute

e A t using 3 different techniques.

Solution: Eigenvalues of matrix A are $ 1\pm j1$.

Method 1: