Module 7 : Discrete State Space Models

Lecture 1 : Characteristic Equation, eigenvalues and eigen vectors

 

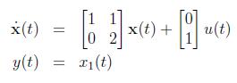
If the system is under a sampling process with period T, derive the discrete state model of the system.

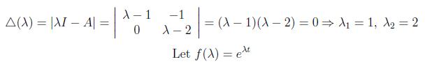
To derive the discrete state space model, let us first compute the state transition matrix of the continuous time system using Caley Hamilton Theorem.

This implies

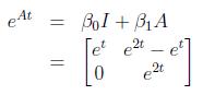
Solving the above equations

$\displaystyle \beta_1 = e^{2t} - e^t \;\;\;\;\; \beta_0 = 2e^t-e^{2t}$

Then