Module 7 : Discrete State Space Models

Lecture 1 : Characteristic Equation, eigenvalues and eigen vectors

Method 3:

Caley Hamilton Theorem

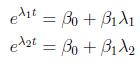
The eigenvalues are $ \lambda_{1,2}=1\pm j$.


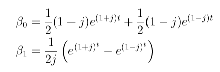
Solving,


Hence,


We will now show through an example how to derive discrete state equation from a continuous one.

Example: Consider the following state model of a continuous time system.