Module 7 : Discrete State Space Models

Lecture 1 : Characteristic Equation, eigenvalues and eigen vectors

 

Method 2:

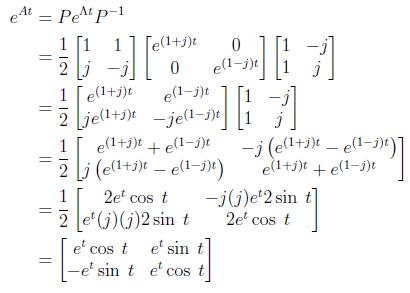
$ e^{At}=Pe^{\Lambda t}P^{-1}$ where $ e^{\Lambda t}=\begin{bmatrix}e^{(1+j)t}&0\\ 0 & e^{(1-j)t}\end{bmatrix}$. Eigen values are $ 1\pm j$. The corresponding eigenvectors are found by using equation $ Av_i=\lambda_i v_i$ as follows:


$\displaystyle \begin{bmatrix}1 & 1\\ -1 & 1\end{bmatrix}\begin{bmatrix}v_1\\ v_2\end{bmatrix}=(1+j)\begin{bmatrix}v_1\\ v_2\end{bmatrix}$


Taking $ v_1=1$, we get $ v_2=j$. So, the eigenvector corresponding to $ 1+j$ is $ \begin{bmatrix}1\\ j\end{bmatrix}$ and the one corresponding to $ 1-j$ is $ \begin{bmatrix}1\\ -j\end{bmatrix}$. The transformation matrix is given by

$\displaystyle P=[v_1\;\;v_2]=\begin{bmatrix}1 & 1 \\ j & -j \end{bmatrix} \Rightarrow P^{-1}= \frac{1}{2}\begin{bmatrix}1 & -j \\ 1 & j \end{bmatrix}$

Now,