Module 6 : Torsional Vibrations of Rotors: The Direct and Transfer Matrix Methods

Lecture 4 :TMM for Branched Systems

Figure 6.38 Actual and equivalent geared systems

The gear ratio for the present case will be

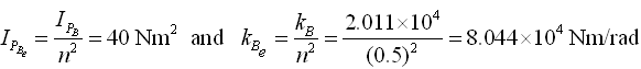
It is assumed that equivalent shaft (i.e., the shaft B) has the diameter same as that of the reference shaft (i.e., the shaft A). The equivalent polar mass moment of inertia and the torsional stiffness can be written as

which gives the equivalent length as

The total equivalent length and the equivalent torsional stiffness would be

and

Alternatively, the effective stiffness can be obtained as