Module 6 : Torsional Vibrations of Rotors: The Direct and Transfer Matrix Methods

Lecture 4 :TMM for Branched Systems

Equation (6.88) can be expanded as

(6.89)

and

(6.90)

Branch C and junction point: At branch point, between shafts A and C, we have the following condition (noting equation(6.86) )

(6.91)

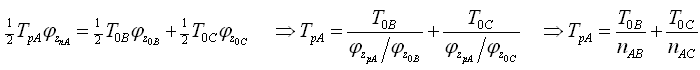
where nACis the gear ratio between shafts A and C. Another condition at the branch (among shafts A, B and C) to be satisfied regarding work done by the torque transmitted at various branches (assuming negligible friction during transmissions), i.e.

  (6.92)

On substituting equation (6.90) into equation (6.92), it can be written as

On substituting equation (6.86), we get

(6.93)

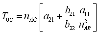
Substituting equations (6.91) and(6.93) into equation(6.84) for branch C, we get

(6.94)

where Trc = 0 is the boundary condition describing the free right hand end of branch C.

The frequency equation: From equation (6.94), the second equation will give the frequency equation as

(6.95)

where a’s, b’s and c’s are function of the natural frequency, ωnf. The roots of the above equation are system natural frequencies. We expect (p + q + r + 1) number of roots.