Module 6 : Torsional Vibrations of Rotors: The Direct and Transfer Matrix Methods

Lecture 4 :TMM for Branched Systems

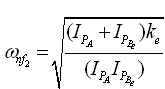
Second natural frequency can be simplified as

(q)

with

It should be noted that equation (q) is exactly the same as in previous example (i.e., for equivalent two mass rotor system) for which  . For the present example problem, natural frequencies are expected to be reduced because of the increase in the polar mass moment of inertia of the system; moreover, there is an increase in DOFs of the system to three from two of Example 6.11.

Example 6.13 Obtain torsional natural frequencies and mode shapes of a branched system as shown in Figure 6.42. The polar mass moment of inertia of rotors are:.Gear ratios are:. Shaft lengths are:, and diameters are Take the modulus of rigidity of the shaft as .

Figure 6.42 A branched rotor system

Solution:  The branched system has the following numerical data

For branch AB, state vectors at stations are related as

with