Module 6 : Torsional Vibrations of Rotors:  The Direct and Transfer Matrix Methods

Lecture 4 :TMM for Branched Systems

For branch CE, state vectors at stations are related as

with

Similarly, for branch DF, we have

with

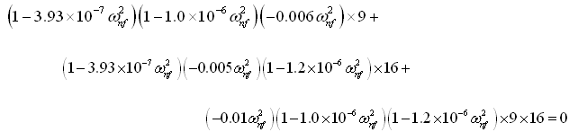
From equation (6.95), the frequency equation can be written as

On substitution, we get

which can be simplified to

Natural frequencies are given as

It can be seen that the rigid body mode exists since ends of the gear train is free. Mode shapes for each of these natural frequencies can be obtained as follows.

For  with  as a reference value, angular displacements at various disc locations can be written as (refer theory section)