Module 6 : Torsional Vibrations of Rotors: The Direct and Transfer Matrix Methods

Lecture 1 : One- and Two-Disc Torsional Rotor System

which gives

(6.10)

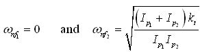
Roots of equation (6.10) are given as

(6.11)

Hence, the system has two torsional natural frequencies and one of them is zero. From equation (6.9) corresponding to first natural frequency for we get

(6.12)

Figure 6.6 The first mode shape

From equation(6.12) , it can be concluded that, the first root of equation (6.10) represents the case when both discs simply rolls together in phase with each other as shown in Figure 6.6. The representation of the relative angular displacement of two discs in this form is called the mode shape. The mode shape shown in Fig. 6.6 is called the rigid body mode, which is of a little practical significance because no stresses develop in the shaft during the motion. However, it may be of interest in control engineering. This mode occurs whenever the system has free-free boundary conditions (for example an aeroplane during flying).

Figure 6.7 (a) The second mode (b) equivalent system 1 (c) equivalent system 2

Content on this page requires a newer version of Adobe Flash Player.

Get Adobe Flash player

Anti-phase torsional motion

Now from the first set of equation (6.9), for we get