Example 8: Air is flowing through an insolated duct, the pressure and temperature measurements of the air at two stations are given below

Established the direction of flow of air in the duct. Assume air as an ideal gas having Cp = 1.005 and R = 0.287 KJ/kg
Solution:
Let us assume that air is flowing along the direction P to Q.
Applying Tds equation,
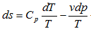
Tds = dh - vdp |
1 |
Since the duct is insulated, no heat transfer takes place between the system and surrounding.
Now,
Tds = CpdT - vdp
or,
|
2 |
Since air is assume to be an ideal gas
PV = RT |
3 |
From equation (3)
|
4 |
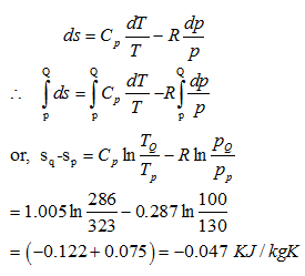
From equation (2) and (4) we get,
According to the 2nd law of thermodynamics,
SQ - Sp not less than zero.
Therefore SQ - Sp cannot occur.
Hence, flow can occur only from station Q to P.