The initial conditions are y(0)
= 0, y(1) = 0 .
We have to find the solution y(k) for k > 0.
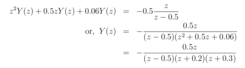
Taking z-transform on both sides of the above equation:
Using partial fraction expansion:
![]() |
|||
Taking Inverse Laplace: |
To emphasize the fact that y(k) = 0 for k < 0 , it is a common practice to write the solution as:
