Module 9 : Appendix

State Feedback Control Design

 

 

 

Lecture Note 4

Additional Notes

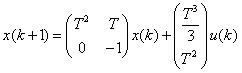
Example 1: The state model is given by

Design the first order estimator for the initial error to be dead beat. Draw the estimator simulation diagram.

Solution:

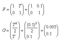
The dynamics of the reduced order estimator in matrix form is given by

On comparison with given dynamics we yield

Since

Here the order (n) of F matrix = 2

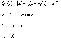
As given that error to be dead beat, so

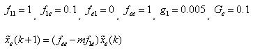
Finally, the dynamics of the reduced order estimator is given by

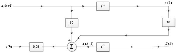
The estimator simulation diagram is shown below

 

Points to Remember:

a. If the order of F matrix is 1 or 2 then calculate the value of m by using the formula

b. If the order of F matrix is greater than equal to 3 then calculate the value of m by using the formula

c. The tabular representation of comparison between the reduced order and full order system as shown below:

 

Exercise Problem

 

Problem 1: The state model is given by

Design the first order estimator for the initial error which should be dead beat. Draw the estimator simulation diagram.