Module 9 : Appendix

State Feedback Control Design

 

 

 

Exercise Problems

 

Problem 1: Given state feedback gain of the controller k = [-0.246 0.246] also the F, G and C matrices are

Determine the Nx,, output of the system, reference input applied to the system and show it by hardware implementation.

 

Problem 2: Given that

Determine the Nx , Nu by using the feed forward design technique.

Problem 3: Given the transfer function as

Design a tracking system with an integrator such that the design characteristic equation is given by

Lecture Note 3

Additional Notes

 

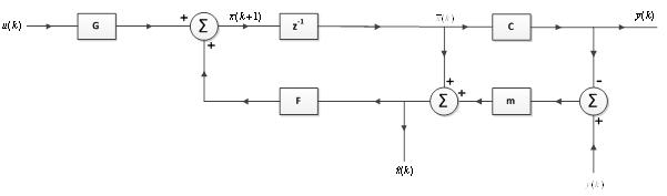
Types of Estimators/Observers:

There are two types of estimators on the basis of past and present conditions. These are

1 Prediction Estimator

By its name it clarifies that estimator which is used for the prediction of past values of the original system output with the current values of the estimator which is given by

Here the m represents the controller gain which is calculated by the algebraic sum of outputs of estimator and original system

The block diagram represents the above mentioned equation by the state space analysis is given by