Module 9 : Appendix

State Feedback Control Design

 

 

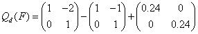
Example 3: Given that

Determine the state feedback gain by using Ackermann's Formula.

Solution:

Here the order (n) of F matrix is n=2

c = [G FG]

 

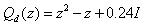
From the characteristic equation we get

Substitute z = F we have

By Ackermann's formula state feedback gain is given by

k = [0 1]

k = [-1 1]

k = [-0.24 1.24]