Module 9 : Appendix

State Feedback Control Design

 

 

Limitation: The above determined matrix can be represented as

The transfer function of the closed loop system is given by

The steady state gain of the uncompensated system

Where SSG is steady state gain of the system.

Here, the steady state gain in this system is non-zero.

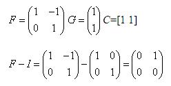
Example: Given that

c = [1 1]

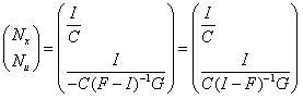
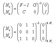
Determine the Nx , Nu by using the feed forward design technique.

Solution :

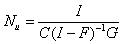
From above calculated formula we have